Κορονοϊός: 4.206 κρούσματα, 16 θάνατοι, 258 διασωληνωμένοι
Η ενημέρωση του ΕΟΔΥ για την πανδημία και τα κρούσματα κορονοϊού στην Ελλάδα κατά το τελευταίο 24ωρο🕛 χρόνος ανάγνωσης: 3 λεπτά ┋

Ο ΕΟΔΥ ανακοίνωσε 4.206 νέα κρούσματα σήμερα, Τρίτη 17 Αυγούστου, ενημερώνοντας για την πανδημία του κορονοϊού στην Ελλάδα. Παράλληλα ανακοίνωσε πως καταγράφηκαν 258 διασωληνωμένοι στα νοσοκομεία ενώ κατά το τελευταίο 24ωρο καταγράφηκαν 16 θάνατοι. Αναλυτικότερα, σύμφωνα με την ανακοίνωση του ΕΟΔΥ:
- Τα νέα εργαστηριακά επιβεβαιωμένα κρούσματα της νόσου που καταγράφηκαν τις τελευταίες 24 ώρες είναι 4.206, εκ των οποίων 21 εντοπίστηκαν κατόπιν ελέγχων στις πύλες εισόδου της χώρας.
- Ο συνολικός αριθμός των κρουσμάτων ανέρχεται σε 543.749 (ημερήσια μεταβολή +0.8%), εκ των οποίων 51.2% άνδρες.
- Με βάση τα επιβεβαιωμένα κρούσματα των τελευταίων 7 ημερών, 135 θεωρούνται σχετιζόμενα με ταξίδι από το εξωτερικό και 1.524 είναι σχετιζόμενα με ήδη γνωστό κρούσμα
- Οι νέοι θάνατοι ασθενών με COVID-19 είναι 16, ενώ από την έναρξη της επιδημίας έχουν καταγραφεί συνολικά 13.253 θάνατοι. Το 95.2% είχε υποκείμενο νόσημα ή/και ηλικία 70 ετών και άνω.
- Ο αριθμός των ασθενών που νοσηλεύονται διασωληνωμένοι είναι 258 (61.2% άνδρες). Η διάμεση ηλικία τους είναι 64 έτη. To 84.9% έχει υποκείμενο νόσημα ή/και ηλικία 70 ετών και άνω. Από την αρχή της πανδημίας έχουν εξέλθει από τις ΜΕΘ 2.885 ασθενείς.
- Οι εισαγωγές νέων ασθενών Covid-19 στα νοσοκομεία της επικράτειας είναι 218 (ημερήσια μεταβολή -2.68%). Ο μέσος όρος εισαγωγών του επταημέρου είναι 234 ασθενείς.
- Η διάμεση ηλικία των κρουσμάτων είναι 40 έτη (εύρος 0.2 έως 106 έτη), ενώ η διάμεση ηλικία των θανόντων είναι 78 έτη (εύρος 0.2 έως 106 έτη).
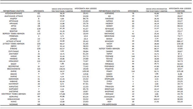
Η κατανομή των κρουσμάτων: Στο «κόκκινο» Αττική, Κρήτη, Ρόδος, Μεσσηνία
Στην Αττική καταγράφονται για ακόμα ένα 24ωρο τα περισσότερα νέα κρούσματα κορονοϊού στην Ελλάδα και την Τρίτη 17 Αυγούστου, σύμφωνα με την κατανομή των κρουσμάτων που ανακοίνωσε ο ΕΟΔΥ. Συγκεκριμένα από τα συνολικά 4.206 κρούσματα κορονοϊού, στην Αττική καταγράφονται 969 νέα κρούσματα και στη Θεσσαλονίκη καταγράφονται 323.
Στην Κρήτη εντοπίζονται 470 κρούσματα κορονοϊού το τελευταίο 24ωρο ενώ στο «κόκκινο» είναι η Ρόδος με 150 κρούσματα και η Μεσσηνία με 118 κρούσματα. Αναλυτικότερα η γεωγραφική κατανομή έχει ως εξής:
- ΑΙΤΩΛΟΑΚΑΡΝΑΝΙΑΣ 62
- ΑΝΑΤΟΛΙΚΗΣ ΑΤΤΙΚΗΣ 121
- ΑΡΓΟΛΙΔΑΣ 21
- ΑΡΚΑΔΙΑΣ 18
- ΑΡΤΑΣ 28
- ΑΧΑΪΑΣ 129
- ΒΟΙΩΤΙΑΣ 42
- ΒΟΡΕΙΟΥ ΤΟΜΕΑ ΑΘΗΝΩΝ 115
- ΓΡΕΒΕΝΩΝ 4
- ΔΡΑΜΑΣ 23
- ΔΥΤΙΚΗΣ ΑΤΤΙΚΗΣ 57
- ΔΥΤΙΚΟΥ ΤΟΜΕΑ ΑΘΗΝΩΝ 155
- ΕΒΡΟΥ 57
- ΕΥΒΟΙΑΣ 105
- ΕΥΡΥΤΑΝΙΑΣ 8
- ΖΑΚΥΝΘΟΥ 25
- ΗΛΕΙΑΣ 84
- ΗΜΑΘΙΑΣ 35
- ΗΡΑΚΛΕΙΟΥ 222
- ΘΕΣΠΡΩΤΙΑΣ 32
- ΘΕΣΣΑΛΟΝΙΚΗΣ 323
- ΘΗΡΑΣ 20
- ΙΩΑΝΝΙΝΩΝ 41
- ΚΑΒΑΛΑΣ 99
- ΚΑΛΥΜΝΟΥ 20
- ΚΑΡΔΙΤΣΑΣ 14
- ΚΑΣΤΟΡΙΑΣ 10
- ΚΕΝΤΡΙΚΟΥ ΤΟΜΕΑ ΑΘΗΝΩΝ 247
- ΚΕΡΚΥΡΑΣ 66
- ΚΕΦΑΛΛΗΝΙΑΣ 12
- ΚΙΛΚΙΣ 19
- ΚΟΖΑΝΗΣ 105
- ΚΟΡΙΝΘΙΑΣ 78
- ΚΩ 10
- ΛΑΚΩΝΙΑΣ 45
- ΛΑΡΙΣΑΣ 69
- ΛΑΣΙΘΙΟΥ 20
- ΛΕΣΒΟΥ 60
- ΛΕΥΚΑΔΑΣ 17
- ΜΑΓΝΗΣΙΑΣ 42
- ΜΕΣΣΗΝΙΑΣ 118
- ΜΗΛΟΥ 4
- ΜΥΚΟΝΟΥ 29
- ΝΑΞΟΥ 29
- ΝΗΣΩΝ 46
- ΝΟΤΙΟΥ ΤΟΜΕΑ ΑΘΗΝΩΝ 83
- ΞΑΝΘΗΣ 33
- ΠΑΡΟΥ 13
- ΠΕΙΡΑΙΩΣ 144
- ΠΕΛΛΑΣ 33
- ΠΙΕΡΙΑΣ 44
- ΠΡΕΒΕΖΑ 36
- ΡΕΘΥΜΝΟΥ 86
- ΡΟΔΟΠΗΣ 18
- ΡΟΔΟΥ 150
- ΣΑΜΟΥ 2
- ΣΕΡΡΩΝ 35
- ΣΠΟΡΑΔΩΝ 9
- ΣΥΡΟΥ 5
- ΤΗΝΟΥ 3
- ΤΡΙΚΑΛΩΝ 44
- ΦΘΙΩΤΙΔΑΣ 33
- ΦΛΩΡΙΝΑΣ 33
- ΦΩΚΙΔΑΣ 10
- ΧΑΛΚΙΔΙΚΗΣ 44
- ΧΑΝΙΩΝ 142
- ΧΙΟΥ 28
- ΥΠΟ ΔΙΕΡΕΥΝΗΣΗ 222
Φωτιά στα Βίλια Αττικής: Μάχη με αναζωπυρώσεις σε όλα τα μέτωπα
Κορονοϊός: 5 μπλόκα από Σεπτέμβριο στους ανεμβολίαστους
Ρωσία: Βίντεο από τη συντριβή αεροσκάφους Ilyushin έξω από τη Μόσχα
Πανελλήνιες 2021: Eως 27 Αυγούστου ανακοινώνονται οι επιτυχόντες και οι βάσεις εισαγωγής
«Στρατιωτικές συνέπειες που δεν έχετε ξαναδεί»: Απειλές Τραμπ μετά από πληροφορίες για νάρκες του Ιράν στο Στενό του Ορμούζ
Η σοκαριστική αναφορά της καθηγήτριας πριν πεθάνει - «Δεν συμμορφώθηκε με τις υποδείξεις του σχολείου και έχασε τη ζωή της»
Forbes: Η λίστα με τους δισεκατομμυριούχους για το 2026 - Ποιοι Έλληνες βρίσκονται ανάμεσά τους
Η NASA άλλαξε τεχνητά την τροχιά δύο αστεροειδών - Τι σημαίνει αυτό για την άμυνα της Γης
Live όλες οι εξελίξεις λεπτό προς λεπτό, με την υπογραφή του www.ethnos.gr




